1、什么是高溫測試?高溫測試的意義?
在熱環境下暴露的可降解塑料可能發生多種物理和化學變化。暴露時間的長短和溫度的高低決定了發生變化的程度和類型。高溫短暴露周期通常就足以縮短可氧化降解塑塑料的誘導期,這個過程會發生抗氧劑和增塑劑的消耗。物理性能如拉伸強度、沖擊強度、伸長率和模量可能在誘導期內引起變化;然而,這些變化通常不是由于分子量的降低,而僅僅是一種隨溫度變化的響應,如結晶度增加或揮發物減少或二者同時發生。
一般情況下,塑料在高溫下的短期暴露會釋放出易揮發物質,如水分、溶劑或增塑劑;減少模塑應力;增進熱固性塑料固化;提高結晶度;并使增塑劑或著色劑或二者均發生顏色變化。通常,隨著揮發物的減少或進一步的聚合反應將會出現進步收縮。某些塑料,如PVC,可能會由于增塑劑的損失或聚合物分子鏈的斷裂面變施。聚丙烯及其共聚物在分子發生降解時往往會變得非常脆,而聚乙烯則會在拉伸強度和伸長率變小和脆化之前變柔軟。因此,研究塑料、橡膠、色漆和清漆、高分子材料以及電路板等元件設備在高溫下的性能是十分必要的。
高溫測試是用來確定產品在高溫氣候環境下儲存、運輸、使用的適應性的方法。試驗的嚴苛程度取決于高溫的溫度和曝露持續時間。塑料、橡膠、色漆和清漆等高分子材料的高溫測試主要包括熱空氣老化、耐熱試驗、耐熱性的測定等。熱空氣加速老化是指試樣在比橡膠使用環境更高的溫度下暴露,以期在短時間內獲得橡膠自然老化的效果。耐熱試驗是指試樣暴露在與橡膠使用環境相同的溫變下的試驗。
2、高溫測試的標準有哪些?
GB/T 3512-2014硫化橡膠或熱塑性橡膠 熱空氣加速老化和耐熱試驗
GB/T 7141-2008塑料熱老化試驗方法
GB/T 1735-2009色漆和清漆 耐熱性的測定
GB/T 2423.2-2008電工電子產品環境試驗 第2部分:試驗方法 試驗B:高溫
ASTM D573-04(2015)空橡膠的標準試驗方法 熱空氣干燥爐中測定橡膠變質
ASTM D865-2011橡膠在空氣中加熱變質的標準試驗方法(試管封閉法)
ASTM D3045-1992(2010)無負荷塑料熱老化的標準實施規程
ISO188-2011硫化橡膠或熱塑性橡膠加速老化和耐熱試驗
DIN 53508-2000橡膠試驗 加速老化
IEC 60068-2-2-2007 環境測試 第2-2部分:試驗 試驗B:干熱
3、高溫測試要點總結
(1)GB/T 3512-2014硫化橡膠或熱塑性橡膠 熱空氣加速老化和耐熱試驗
適用范圍:本標準規定了硫化橡膠或熱塑性橡膠熱空氣加速老化和耐熱試驗方法。兩種方法分別為:方法 A:空氣流速低的多單元式或柜式熱空氣老化箱,每小時換氣3次~10次;方法 B:使用風扇強制通風的柜式熱空氣老化箱,每小時換氣3次~10次。
試驗原理概述:試樣在高溫和大氣壓力下的空氣中老化后測定其性能,并與未老化試樣的性能作比較。應使用與實際應用有關的物理性能判定橡膠的老化程度,但在沒有表明這些性能與實際應用明確相關時,建議測試橡膠的拉伸強度、定伸應力、斷裂伸長率(按ISO 37測定)和硬度(按ISO 48測定)。
試驗設備:空氣老化箱(多單元式老化箱、柜式老化箱、強制通風式老化箱)
試驗步驟:加熱老化箱到試驗溫度,將試樣放入到老化箱中。如果使用多單元老化箱,每個單元中只能放一種橡膠。試樣應不受應力,各面自由暴露在空氣中,且不受光照。達到規定的老化時間后,從老化箱中取出試樣,取出的試樣以不受應力的方式在待測試的試驗性能
所要求的環境下調節不少于16 h,不超過6天,按照有關性能試驗方法測試。
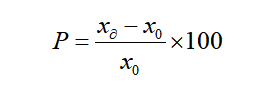
試驗結果表示:試驗結果的表示應符合與待測性能相關的標準。應報告未老化和老化試樣的試驗結果,在適當的情況下按照式(1)計算測試性能的變化率:

式中:
p--性能變化率
x0--老化前的性能
Xα--老化前的性能
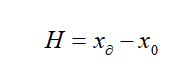
硬度的變化按照式(2)計算:

式中:
H--硬度變化
x0--老化前的硬度
xα--老化前的硬度
(2)GB/T 7141-2008塑料熱老化試驗方法
適用范圍:
1)本標準規定了塑料僅在不同溫度的熱空氣中暴露較長時間時的暴露條件。本標準僅規定了熱暴露的方法,而未對試驗方法或試樣進行規定。熱對塑料任何性能的影響都可以通過選擇適合的試驗方法和試樣來測定,本標準推薦使用ASTM D3826標準來測定脆化終點,脆化終點是指在0. 1 mm/min的初始應變速率下,當75%的被測試樣斷裂伸長率為5%或更小值時,材料即達到其脆化終點。
2)本標準給出了比較材料熱老化性能的導則,這些性能通過某相關性能的變化來測定(也就是說,脆化性能通過伸長率的減少來測定)。本標準適用于評價使用時易氧化的塑料。
3)按照本標準得到的結果受到所用熱老化試驗箱類型的影響。使用者可以選擇兩種方法中的一種進行熱老化試驗箱暴露?;谶@兩種方法的結果不應相互混淆。方法A:重力對流式熱老化試驗箱--推薦用于標稱厚度不大于0.25 mm的薄型試樣;方法B:強制通風式熱老化試驗箱--推薦用于標稱厚度大于0.25 mm的試樣。
4)本標準介紹了在單一溫度下比較材料熱老化性能的方法。本標準還描述了材料在一系列溫度下測定熱老化性能的方法,以此來估計在某更低溫度下材料發生規定特性變化所需的時間。本標準沒有預計應力、環境、溫度和控時失效等因素相互作用時的熱老化性能。
試驗設備:熱老化試驗箱(重力對流式熱老化試驗箱、強制通風式熱老化試驗箱)、試樣架、相關試驗儀器
試樣要求:方法A--推薦用于標稱厚度不大于0.25 mm的薄型試樣;方法B--推薦用于標稱厚度大于0.25 mm的試樣;至少3個平行試樣
試驗溫度和暴露時間:如表1所示:

試驗結果評定:方差分析在單一溫度下每種材料每個周期得暴露結果比較;繪制熱老化時間-絕對伸長率以及溫度的倒數-熱老化時間的對數的關系圖評價在一系列不同的溫度下材料的比較。
(3)GB/T 1735-2009色漆和清漆 耐熱性的測定
適宜范圍:本標準是有關色漆、清漆及相關產品的取樣和試驗的系列標準之一。本標準規定了一種通用的方法用來測定色漆、清漆或相關產品的單一涂層或復合涂層體系在規定的溫度下涂膜顏色、光澤的變化,起泡、開裂或從底材上剝離的性能。
試樣要求:按GB/T 3186的規定,取受試產品的代表性樣品;按GB/T 20777的規定,檢查和制備試驗樣品;推薦試板尺寸至少為120mm*50mm
試驗步驟:在規定或商定的溫度和時間下進行試驗。將三塊試板放入規定溫度的鼓風烘箱或高溫爐中,如試驗在烘箱中進行,則試板距離烘箱每一面的距離不小于100 mm,試板相互間間隔不小于20 mm,如試驗在高溫爐中進行,則盡量將試板放在高溫爐的中間部位。在規定溫度下將試板放置規定的時間。能確保涂漆試板均勻受熱的最好方法是用細鐵絲將樣板懸掛起來,也可將試板放在由合適的耐熱材料制成的樣板架上或將樣板的涂漆面向上放在位于支承物上的由耐熱材料制成的板上。達到規定時間后,將試板從烘箱或高溫爐中取出并使之冷卻至室溫。檢查試板并與在同樣條件下制備的未經加熱的試板進行比較,看涂膜的顏色是否有變化或涂膜是否有其他破壞現象,以至少兩塊試板現象一致為試驗結果。
試驗結果評定:涂膜的顏色變化或涂膜是否有其他破壞現象
(4)GB/T 2423.2-2008電工電子產品環境試驗 第2部分:試驗方法 試驗B:高溫
適用范圍:本部分規定的高溫試驗適用于非散熱和散熱試驗樣品。試驗Bb和試驗Bd與早期版本無實質上的差異。本高溫試驗的目的僅限于用來確定元件、設備或其他產品在高溫環境下使用、運輸或貯存的能力。本高溫試驗不能用來評價試驗樣品耐溫度變化的能力和在溫度變化環境下的運行能力,在這種情況下,應采用GB/T 2423.22。本高溫試驗方法細分為以下幾種: 非散熱試驗樣品高溫試驗:試驗Bb,溫度漸變;散熱試驗樣品高溫試驗:試驗Bd,溫度漸變;試驗Be,溫度漸變,試驗樣品在整個試驗過程通電。
試驗溫度:+1000℃、+800℃、+630℃、+500℃、+400℃、+315℃、+250℃、+200℃、+175℃、+155℃、+125℃、+100℃、+85℃、+70℃、+65℃、+60℃、+55℃、+50℃、+45℃、+40℃、+35℃、+30℃
試驗持續時間:2h、16h、72h、96h、168h、240h、336h、1000h
試驗結果評定:對樣品進行目視檢查以及相關規范要求的性能檢測
Copyright ? 2017-2024 江蘇隱石實驗科技有限公司 All Rights Reserved 備案號:蘇ICP備2021030923號-2
蘇公網安備32020502001473 技術支持:迅誠科技