Materialsdata validation and imputation with an artificial neural
network
P.C. Verpoort , P.MacDonald, G.J. Conduit
ComputationalMaterials Science. 2018, 147
DOI:10.1016/j.commatsci.2018.02.002
摘要
應用人工神經網絡來模擬和驗證材料性能。在訓練和預測中神經網絡算法具有獨特的處理不完整數據集的能力,因此可將性能作為輸入,研究成分-性能和性能-性能關系來提高預測的質量,也可以作為單一實體的圖形數據處理。使用多種驗證方案對該框架進行測試,然后將其應用于合金和聚合物的材料實例研究。通過與數據源對比確認,該算法在商業材料數據庫中發現了二十個錯誤。
關鍵詞
材料數據,神經網絡,合金,聚合物
結論
我們開發了一種人工智能算法,并將其擴展到處理不完整數據,功能數據,并量化數據的準確性。我們驗證了數據模型的性能,以確認該框架在錯誤預測、不完整數據和繪圖能力的測試中提供預期結果的能力。最終我們將該框架應用到現實中的MaterialUniverse和ProspectorPlastics數據庫,展示了該方法帶來的顯著效果。
值得一提的是,我們能夠提出和驗證錯誤的輸入數據;給出未知因素預測的外推改進,這些未知因素是因為材料成分和制造中的數據缺失產生的;并通過識別不同應用中的非顯形描述符來幫助表征材料的性能。因此,我們能夠展示人工智能算法如何為工業應用中的研究、設計和選擇材料方面做出重大貢獻。
文章部分附圖
圖1 人工神經網絡(ANN)用于插值材料性能數據集。圖片展示了如何從所有輸入的xi計算得到輸出的y1(上)和y2(下)。對于所有其他yj,可以繪制1~2個類似的圖來計算所有的預測性質。給定性能(紅色)的線性組合(左邊的灰色線)是由隱藏節點(藍色)確定的,應用非線性tanh操作,線性組合(右邊的灰色線)作為預測性能返回(綠色)。

圖2:如果我們需要使用存在一些性能數據丟失的數據點x來評估ANN,采用如下圖的過程進行描述。

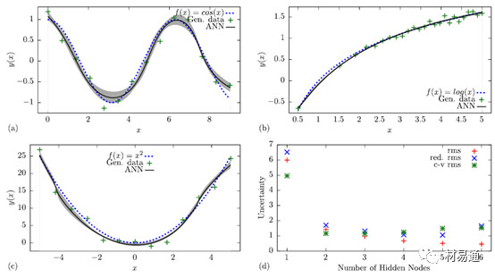
圖3 toy模型的人工神經網絡訓練(a)余弦函數,(b)具有不均勻分布數據的對數函數,(c)高斯噪聲下的二次函數,(d)二次函數,測試具有不同數目的隱藏節點的性能,并計算和繪制RMS(Eq.5)、降低RMS(Eq.6)和交叉驗證RMS。

圖4:藍虛線:生成數據的二次曲線。 紅色/綠色點:由藍色噪聲產生的數據點,高斯噪聲有/沒有被識別為錯誤。黑線:具有不確定性的模型的修正。生成的數據的高斯噪聲與toy模型函數的值成比例。觀察到在曲線的右端有少量點被識別為錯誤,因為人工神經網絡的確定性在該區域較低。

圖5 不同x值的訓練數據、真實函數和神經網絡預測函數

圖6:玻璃纖維填料(藍色)和礦物填料(紅色)的聚合物拉伸模量vs密度圖。,輸入信息不僅包括填料類型,還包括填料量(重量%)。

標簽:
Copyright ? 2017-2024 江蘇隱石實驗科技有限公司 All Rights Reserved 備案號:蘇ICP備2021030923號-2
蘇公網安備32020502001473 技術支持:迅誠科技